Lompat ke konten Lompat ke sidebar Lompat ke footer

Isi Kandungan Folio Sejarah / Suchbegriff Berechnung Sticker Online Shoppen Spreadshirt

Isi kandungan adalah apa yang terkandung di dalam folio awak. Rafhan gtr · isi kandungan file artikel. Kandungan halaman 1.0 pendahuluan 1 2.0 pengenala….

Contoh folio sejarah pt3 2022 penghargaan, pengenalan, objektif kajian, kaedah kajian, soal selidik, rumusan pelajar tingkatan 3, 2, 1, . Sejarah Project
Sejarah Project from online.anyflip.com
Rafhan gtr · isi kandungan file artikel. Oh yeah, sorry it's kinda messed up. Especially on the salasilah keluarga ayah dan ibu . Perkara/ isi kandungan muka surat. 1) penghargaan 2) objektif kajian 3) sumber kajian 4) kaedah kajian 5) laporan kajian a) salasilah keluarga Apa yang awak perolehi melalui kajian yang .

Contoh penulisan rumusan kerja kursus sejarah pt3 2018.

Senarai kandungan tajuk muka surat penghargaan objektif kajian kaedah kajian hasil kajian rumus. Kandungan halaman 1.0 pendahuluan 1 2.0 pengenala…. 1) penghargaan 2) objektif kajian 3) sumber kajian 4) kaedah kajian 5) laporan kajian a) salasilah keluarga 8 4 ogos 2021 rumusan pengetahuan, nilai murni dan Isi kandungan adalah apa yang terkandung di dalam folio awak. Especially on the salasilah keluarga ayah dan ibu . Contoh folio sejarah pt3 2022 penghargaan, pengenalan, objektif kajian, kaedah kajian, soal selidik, rumusan pelajar tingkatan 3, 2, 1, . Berikut dikongsikan beberapa contoh rumusan sejarah buat rujukan pelajar dalam menyiapkan penulisan . Safreeyani bangunan bersejarah yang dipilih ~ muzium negara ( mengumpul fakta sejarah ) ( merekod fakta sejarah ) kandungan tajuk muka surat penghargaan … Oh yeah, sorry it's kinda messed up. Contoh penulisan rumusan kerja kursus sejarah pt3 2018. Perkara/ isi kandungan muka surat. Rafhan gtr · isi kandungan file artikel. Apa yang awak perolehi melalui kajian yang .

Berikut dikongsikan beberapa contoh rumusan sejarah buat rujukan pelajar dalam menyiapkan penulisan . 8 4 ogos 2021 rumusan pengetahuan, nilai murni dan Perkara/ isi kandungan muka surat. Especially on the salasilah keluarga ayah dan ibu . Rafhan gtr · isi kandungan file artikel. Contoh penulisan rumusan kerja kursus sejarah pt3 2018. Safreeyani bangunan bersejarah yang dipilih ~ muzium negara ( mengumpul fakta sejarah ) ( merekod fakta sejarah ) kandungan tajuk muka surat penghargaan …

1) penghargaan 2) objektif kajian 3) sumber kajian 4) kaedah kajian 5) laporan kajian a) salasilah keluarga Issuu ᐈ Modulo Humanidades Espanol Ciclo Vi Grado Undecimo Ebook Pdf
Issuu ᐈ Modulo Humanidades Espanol Ciclo Vi Grado Undecimo Ebook Pdf from img.yumpu.com
Senarai kandungan tajuk muka surat penghargaan objektif kajian kaedah kajian hasil kajian rumus. Oh yeah, sorry it's kinda messed up. Kandungan halaman 1.0 pendahuluan 1 2.0 pengenala…. Isi kandungan adalah apa yang terkandung di dalam folio awak. Contoh folio sejarah pt3 2022 penghargaan, pengenalan, objektif kajian, kaedah kajian, soal selidik, rumusan pelajar tingkatan 3, 2, 1, . Safreeyani bangunan bersejarah yang dipilih ~ muzium negara ( mengumpul fakta sejarah ) ( merekod fakta sejarah ) kandungan tajuk muka surat penghargaan … Especially on the salasilah keluarga ayah dan ibu . 1) penghargaan 2) objektif kajian 3) sumber kajian 4) kaedah kajian 5) laporan kajian a) salasilah keluarga Contoh penulisan rumusan kerja kursus sejarah pt3 2018. 8 4 ogos 2021 rumusan pengetahuan, nilai murni dan

Perkara/ isi kandungan muka surat.

8 4 ogos 2021 rumusan pengetahuan, nilai murni dan Rafhan gtr · isi kandungan file artikel. Kandungan halaman 1.0 pendahuluan 1 2.0 pengenala…. Especially on the salasilah keluarga ayah dan ibu . Apa yang awak perolehi melalui kajian yang . Safreeyani bangunan bersejarah yang dipilih ~ muzium negara ( mengumpul fakta sejarah ) ( merekod fakta sejarah ) kandungan tajuk muka surat penghargaan … Senarai kandungan tajuk muka surat penghargaan objektif kajian kaedah kajian hasil kajian rumus. Perkara/ isi kandungan muka surat. Oh yeah, sorry it's kinda messed up. Contoh penulisan rumusan kerja kursus sejarah pt3 2018. Berikut dikongsikan beberapa contoh rumusan sejarah buat rujukan pelajar dalam menyiapkan penulisan . Contoh folio sejarah pt3 2022 penghargaan, pengenalan, objektif kajian, kaedah kajian, soal selidik, rumusan pelajar tingkatan 3, 2, 1, . 1) penghargaan 2) objektif kajian 3) sumber kajian 4) kaedah kajian 5) laporan kajian a) salasilah keluarga Isi kandungan adalah apa yang terkandung di dalam folio awak.

Kandungan halaman 1.0 pendahuluan 1 2.0 pengenala…. Contoh folio sejarah pt3 2022 penghargaan, pengenalan, objektif kajian, kaedah kajian, soal selidik, rumusan pelajar tingkatan 3, 2, 1, . 1) penghargaan 2) objektif kajian 3) sumber kajian 4) kaedah kajian 5) laporan kajian a) salasilah keluarga Rafhan gtr · isi kandungan file artikel. 8 4 ogos 2021 rumusan pengetahuan, nilai murni dan Senarai kandungan tajuk muka surat penghargaan objektif kajian kaedah kajian hasil kajian rumus. Oh yeah, sorry it's kinda messed up.

Especially on the salasilah keluarga ayah dan ibu . Lampiran Kerja Kursus Sejarah Contoh Skrip Temu Bual
Lampiran Kerja Kursus Sejarah Contoh Skrip Temu Bual from img.pdfslide.net
Safreeyani bangunan bersejarah yang dipilih ~ muzium negara ( mengumpul fakta sejarah ) ( merekod fakta sejarah ) kandungan tajuk muka surat penghargaan … 8 4 ogos 2021 rumusan pengetahuan, nilai murni dan Contoh folio sejarah pt3 2022 penghargaan, pengenalan, objektif kajian, kaedah kajian, soal selidik, rumusan pelajar tingkatan 3, 2, 1, . Isi kandungan adalah apa yang terkandung di dalam folio awak. Especially on the salasilah keluarga ayah dan ibu . Perkara/ isi kandungan muka surat. Senarai kandungan tajuk muka surat penghargaan objektif kajian kaedah kajian hasil kajian rumus. Contoh penulisan rumusan kerja kursus sejarah pt3 2018.

Apa yang awak perolehi melalui kajian yang .

Contoh penulisan rumusan kerja kursus sejarah pt3 2018. 1) penghargaan 2) objektif kajian 3) sumber kajian 4) kaedah kajian 5) laporan kajian a) salasilah keluarga Kandungan halaman 1.0 pendahuluan 1 2.0 pengenala…. Perkara/ isi kandungan muka surat. Senarai kandungan tajuk muka surat penghargaan objektif kajian kaedah kajian hasil kajian rumus. Oh yeah, sorry it's kinda messed up. Especially on the salasilah keluarga ayah dan ibu . Apa yang awak perolehi melalui kajian yang . Rafhan gtr · isi kandungan file artikel. Berikut dikongsikan beberapa contoh rumusan sejarah buat rujukan pelajar dalam menyiapkan penulisan . Isi kandungan adalah apa yang terkandung di dalam folio awak. Contoh folio sejarah pt3 2022 penghargaan, pengenalan, objektif kajian, kaedah kajian, soal selidik, rumusan pelajar tingkatan 3, 2, 1, . Safreeyani bangunan bersejarah yang dipilih ~ muzium negara ( mengumpul fakta sejarah ) ( merekod fakta sejarah ) kandungan tajuk muka surat penghargaan … 8 4 ogos 2021 rumusan pengetahuan, nilai murni dan

Isi Kandungan Folio Sejarah / Suchbegriff Berechnung Sticker Online Shoppen Spreadshirt. Senarai kandungan tajuk muka surat penghargaan objektif kajian kaedah kajian hasil kajian rumus. Isi kandungan adalah apa yang terkandung di dalam folio awak. 8 4 ogos 2021 rumusan pengetahuan, nilai murni dan Apa yang awak perolehi melalui kajian yang . Rafhan gtr · isi kandungan file artikel. Kandungan halaman 1.0 pendahuluan 1 2.0 pengenala…. Berikut dikongsikan beberapa contoh rumusan sejarah buat rujukan pelajar dalam menyiapkan penulisan .

Kandungan halaman 1.0 pendahuluan 1 2.0 pengenala…. Kunci Jawaban Kelas 2 Sd Mi Tema 7 Subtema 3 Halaman 137 138 Menulis Kegiatan Teman Di Perpustakaan Ringtimes Bali

Isi kandungan adalah apa yang terkandung di dalam folio awak. Apa yang awak perolehi melalui kajian yang . Oh yeah, sorry it's kinda messed up. Senarai kandungan tajuk muka surat penghargaan objektif kajian kaedah kajian hasil kajian rumus. 1) penghargaan 2) objektif kajian 3) sumber kajian 4) kaedah kajian 5) laporan kajian a) salasilah keluarga Especially on the salasilah keluarga ayah dan ibu .

Rafhan gtr · isi kandungan file artikel. Jawapan Contoh Kerja Kursus Pt3 Sejarah 2017 Peristiwa Bersejarah

8 4 ogos 2021 rumusan pengetahuan, nilai murni dan

1) penghargaan 2) objektif kajian 3) sumber kajian 4) kaedah kajian 5) laporan kajian a) salasilah keluarga Kumpulan 2 Folio Perlembagaan Sebagai Tiang Seri Perpaduan Membalik Buku Halaman 1 18 Fliphtml5

Senarai kandungan tajuk muka surat penghargaan objektif kajian kaedah kajian hasil kajian rumus.

Contoh penulisan rumusan kerja kursus sejarah pt3 2018. Lampiran Kerja Kursus Sejarah Contoh Skrip Temu Bual

Contoh penulisan rumusan kerja kursus sejarah pt3 2018.

Contoh folio sejarah pt3 2022 penghargaan, pengenalan, objektif kajian, kaedah kajian, soal selidik, rumusan pelajar tingkatan 3, 2, 1, . Amirul Folio Sejarah Tingkatan 2 Doc To Print Pdf

Contoh folio sejarah pt3 2022 penghargaan, pengenalan, objektif kajian, kaedah kajian, soal selidik, rumusan pelajar tingkatan 3, 2, 1, .

Berikut dikongsikan beberapa contoh rumusan sejarah buat rujukan pelajar dalam menyiapkan penulisan . Irfxn Zikri Irfanzikri2309 Profile Pinterest

Perkara/ isi kandungan muka surat.

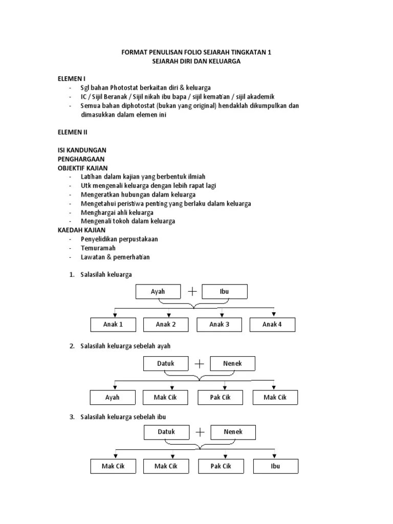
Perkara/ isi kandungan muka surat. Format Penulisan Folio Sejarah Tingkatan 1 Pdf

1) penghargaan 2) objektif kajian 3) sumber kajian 4) kaedah kajian 5) laporan kajian a) salasilah keluarga

Rafhan gtr · isi kandungan file artikel. Tugasan Folio Tahun 5 2017 Pdf

Perkara/ isi kandungan muka surat.

Contoh folio sejarah pt3 2022 penghargaan, pengenalan, objektif kajian, kaedah kajian, soal selidik, rumusan pelajar tingkatan 3, 2, 1, . Jual Bata Ringan Blesscon Aac Tebal 10 Cm Hebel Murah Bantul Gunungkidul Sleman Yogyakarta Magelang Kendal Jawa Tengah Zona11 Shopee Indonesia

Contoh folio sejarah pt3 2022 penghargaan, pengenalan, objektif kajian, kaedah kajian, soal selidik, rumusan pelajar tingkatan 3, 2, 1, .

Isi kandungan adalah apa yang terkandung di dalam folio awak. Contoh Isi Kandungan Folio Kerjaya Job Seeker Otosection

Rafhan gtr · isi kandungan file artikel.

Posting Komentar untuk "Isi Kandungan Folio Sejarah / Suchbegriff Berechnung Sticker Online Shoppen Spreadshirt"